论文题目:Design and Analysis on an Optimized Interface Algorithm for Real-Time Integrated Simulation System of Renewable Energy and the Power Grid
发表期刊:Energies(JCR Q3)
原文DOI:10.3390/en13174380
作者列表:
1) 孟岩峰 中国科学院电工研究所
2) 吉 莉 awc77万象城官网 信息科学与工程学院
3) 胡书举 中国科学院电工研究所
4) 许洪华 中国科学院电工研究所
随着以风电为代表的强波动性可再生能源的大规模并网,电网的安全可靠运行将越来越依赖于可再生能源并网前的运行模拟测试技术。传统的并网测试技术仅可模拟电网特定故障,无法模拟电网的实时特性及电网与被测设备的交互特性,严重影响了可再生能源并网可靠性测试的准确性。本文基于功率型硬件在环技术,提出了一种基于辅助DIM接口电流反馈的新型接口算法,构成数字物理闭环仿真系统,可以有效提高可再生能源并网模拟的准确性,同时增强系统的稳定性。
面向可再生能源并网模拟的实时性应用需求,仿真系统接口算法的目标包括:电网模拟系统目标电压波形要精确,可以复现实际电网特性,且反馈到大电网运算模型的电流信号误差要尽可能小,既能体现风电机组对电网的影响,同时还要保证接口算法具有数十兆瓦的功率等级水平下带载能力。本文提出的基于辅助DIM电流反馈的新型接口算法原理如图1所示。

图1 基于辅助DIM电流反馈的新型接口算法原理图
1)所提接口算法的时序控制模式
在tn时刻在数字仿真侧和物理侧同时进行模型运算和数据采样转换,并行执行后向信号反馈和前向电压激励以等步骤完成系统仿真运行控制,如图2所示。

图2 所提出的新型接口算法的时序控制图
相比常用接口算法,应用新型接口算法,模型运算耗时有所增加,但是通过引入辅助DIM接口反馈信号使得数字侧主模型运算结果准确度提升,模型运算误差不会累积,而辅助模型运算增加耗时可通过提升硬件性能得到解决。
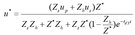
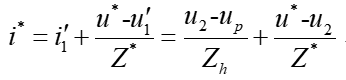
2)新型接口算法的准确性分析
对于实时电网模拟系统而言,首要考察数字仿真子系统输出指令信号即端口电压
的准确性,其次是物理子系统输出电流的准确性。可推导得:
(1)
(2)
(3)
从上式可知,采用本文所提的新型接口算法,实时电网模拟系统数字侧指令电压信号
不受接口延时影响,误差不会累积,仅与等效电源与阻抗相关,数字侧误差不累积的特性也使得系统运行稳定性有效提升,同时在物理侧,具有较强的带载能力。
3)应用所提接口算法的工况模拟验证
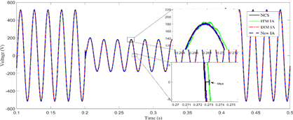
应用所提接口算法对实际电网的工况进行模拟验证,仿真结果如图3与如图4所示,数字侧电压模拟准确性提高97%,物理侧准确性提高26%,畸变小,带载能力强。

图3 应用所提算法的数字侧电压图

图4 应用所提算法的物理侧电流图
吉莉,博士,副教授,硕士研究生导师。长期致力于能源与信息、能源与交通的交叉融合研究工作,主持1项国家自然科学基金项目和1项国家863课题,作为技术负责人主持多项国家863项目、国家科技支撑项目。科技部国家第六次技术预测工作能源领域总体组专家,《IET Renewable Power Generation》、《CSEE JPES》等期刊的Guest Editor,中国电工技术学会无线电能传输专委会委员。以第一作者/通信作者在《IEEE Transactions on industrial electronics》、《电力系统自动化》等期刊上发表SCI/EI期刊论文30余篇,第一作者获授权/受理发明专利/软件著作权10余项。编写中文著作3部。联系方式:huanxir@126.com